Latest Content
Latest Community Postings
Recent Blog Entries
Community Downloads
ChExpress Blog
Ankur's Tech Blog
Community Admin Blog
Energy Efficient Hot and Cold Water
Electrical Process Tomography
Biodiesel: The Road Ahead
Methanol Plant Capacity Enhancement
Plate and Frame Heat Exchangers: Preliminary Design
Compressor Surging Under Control
Plant and Equipment Wellness, Part 1: Observing Variability


Share this topic:



banner.gif (6162 bytes)

Pneumatic Conveying Design

The method presented in this article was changed December 2006

One of the most popular methods of moving solids in the chemical industry is pneumatic conveying.  Pneumatic conveying refers to the
moving of solids suspended in or forced by a gas stream through horizontal and/or vertical pipes.  Pneumatic conveying can be used for particles ranging from fine powders to pellets and bulk densities of 16 to 3200 kg/m3 (1 to 200 lb/ft3).

Dilute phase vs. Dense phase conveying

The specifying engineer typically has four choice in specifying a pneumatic conveying system. 

1.  Dilute phase vacuum operation
2.  Dilute phase pressure operation
3.  Dilute phase pressure-vacuum operation
4.  Dense phase pressure operation

Vacuum systems allow multiple product inlets through the use of simple diverter valves.  However, it becomes costly to have multiple destinations because each must have its own filter receiver with partial vacuum capability.  Vacuum systems are also more "distance sensitive" than pressure systems due to the maximum pressure differential of 5.5 to 6.0 psi.  Dilute phase pressure systems can easily achieve pressure differentials of 12 psi.   Pressure-vacuum operation (utilizing both methods) are sometimes ideal for a given conveying setup.  A very common application is the unloading of a standard railcar.   Since the cars cannot be pressurized, air is pulled from the outside, through the car (carrying solids with it) to a filter.  Then after the filter, a blower can be used to forward the solids to the final receiver.

The choice between dilute and dense phase operation is typically dependent on the solids properties.  For example, the lower velocity bulk phase operation is popular ofr highly abrasive products or for those that degrade easily.  For example, this method is popular in transporting kaolin clay.

pnuconvey1.gif (6016 bytes)

pnuconvey2.gif (10430 bytes)

pnuconvey3.gif (8252 bytes)

Designing a System for Dilute Phase Operation

Considering designing a pneumatic conveying system yourself?  Probably not a good idea.  There's as much art involved as there is science and such a design should be left to professionals.  Consider that even different grades of the same material have been known to convey differently.  Testing is a must (as you'll see from the method below).  Before you can even make any good judgements from the method presented here, you need to know solid friction factor for your solids (which we'll discuss later) and the minimum gas velocity required to move your particles.  So, if you're involved in designing a system from the ground up, seek assistance from reputatable people in the field of conveying.  If you're already familiar with your solids, the method below can be used to examine the pressure loss expected in your system.  The method presented here is very good and has been stood the test of real systems over time.

The design method presented here is based on the work of Dr. F.A. Zenz and Dr. D.F. Othmer as published in their book "Fluidized and Fluid Particle Systems" published in 1960 (see References).  This method was presented by A. T. Agarwal of Pneumatic Conveying Consulting Services LLC in the January/February 2005 issue of Powder Handling and Processing.  This method has been widely used and is generally found to be within 10% of measured pressure losses.

Pressure losses experienced in pneumatic conveying systems are the result of the following forces:

Friction of the gas on the inside of the pipe, force required to move the solids through the pipe, forces required to support the weight of the solid and the gases in vertical pipe runs, force required to accelerate the solids, and friction between the solids and the inside of the pipe.

Friction losses as the result of the solids being in contact with the inside of the pipe are usually very small and can be neglected when considering dilute phase transport.

* Please be aware that using air as a carrier gas should be investigated thoroughly.  When some powders are mixed with oxygen, they form an explosive mixture!

Nomenclature

Vg Gas velocity [ft/s]
rg Gas density [lbs/ft3]
W Solids mass velocity [lbs/s ft2]
Vp Particle velocity [ft/s]
f Fanning friction factor
L Equivalent length of pipeline [ft]
D Pipe inside diameter [ft]
g Acceleration due to gravity [32.2 ft/s2]
gc Constant [32.174 ft-lb/lb s2]
K Friction multiplier for the solids conveyed
R Solids to gas mass flow ration [lb/lb]
Z Elevation change in pipe line [ft]

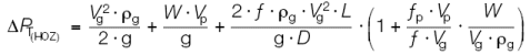
Early is their work, Zenz and Othmer used the following equations to described the pressure losses in horizontal and vertical pipes:

convey1.gif (4638 bytes)

convey2.gif (2475 bytes)

It was later concluded that the term (fp Vp/f Vg) should be replaced by the constant K (friction multiplier for the solids conveyed) because the term was dependent upon the physical properties of the solids being conveyed.  The value for K must be back-calculated from actual pressure drop data from an existing system or it must be determined experimentally in plant tests.  This lead to the following equation for the pressure drop for the solids in the system:

convey3.gif (2471 bytes)

Thus, the equation used for the total system pressure loss is:

convey4.gif (2846 bytes) Base Equation

where:

DPT Total pressure loss in the system
DPacc Pressure loss due to acceleration of the solids from their "at rest" condition at the pick up point.
DPg Frictional pressure loss of the gas
DPs Frictional pressure loss of the solids
DHg Elevation pressure loss of the gas
DHs Elevation pressure loss of the solids
DPmisc Pressure losses from miscellaneous equipment

The Base Equation is the basis for the following equations used in the pressure loss calculations.  The pressure loss is expressed in psi or lbs/in2 in the following equations.

convey5.gif (2558 bytes) (1)
convey6.gif (3442 bytes) (2)
convey7.gif (1629 bytes) (3) modify Zenz equation
convey8.gif (1860 bytes) (4)
convey9.gif (2198 bytes) (5)
convey10.gif (1250 bytes) = Estimated Misc. losses from the system (6)

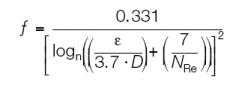
The Fanning Friction Factor

In order to determine the fanning friction factor, f, the Reynolds Number must first be calculated:

convey11.gif (1779 bytes)

where mg is the gas viscosity in lbs/ft s.

Then, the friction factor is calculated from the following equation derived from pages A-23 and A-24 of Crane's Technical Paper No. 410:

convey12.gif (3502 bytes)

Where e is the pipe roughness factor which can be estimated as 0.00015 for smooth pipes or 0.0005 for shot-peened pipes.

Pipe Equivalent Length

For straight pipe runs (either horizontal or vertical) use the actual length of the pipe.  For bends and other devices, use the table below as a guide:

Component Equivalent Length
Bends, 90° bend, long radius
(10 to 1 radius to diameter ratio)
40 x diameter or 20 ft
(whichever is larger)
Diverter Valves
45° divert angle
30° divert angle

20 x diameter
10 x diameter
Flexible Hoses
Stainless steel, with lined interior
Rubber or vinyl hose

3 x pipe length
5 x pipe length
For bends that are less than 90°, use the following equivalent lengths:

L =40 x (Degree of bend / 90)

Solids Velocity

Solids also move at a velocity lower than the gas velocity due to drag forces.  The difference between these velocities is called the slip factor.  For most course or hard solids, the slip factor is around 0.80. 

convey13.gif (1216 bytes)
For fine powders, the solids velocity can be closer to the gas velocity and a factor of 0.90 may be more appropriate.  Depending on the size of the particles, the slip factor can range from 0.70 to 0.95.

Solids Velocity in Long Radius Bends

For a 90° radius bend, the solids velocity at the exit of the bend (Vp2) is around 0.80 times the solids velocity at the inlet of the bend (Vp1).  This factor can range from 0.60 to 0.90 depending of the properties of the solids.  For bends that are less than 90°, the exit velocity may be expressed as:

convey14.gif (2163 bytes)

After leaving a 90° bend, use a nominal value of 20 pipe diameters for the length of pipe needed for the particles to accelerate back to their original velocity at the inlet of the bend.

Solids to Air Ratio, R

The solids to air ratio is calculated as:

convey15.gif (1601 bytes)

In the above, m is the the solids mass flow in lb/s and A is the pipe cross sectional area in ft2.  Remember that the gas density (and therefore velocity) will change throughout the system (we'll discuss this in more detail later).

When calculating the gas velocity, reduce the gas mass flow rate by 5% for pressure systems to account for gas leakage through a rotary valve if such a valve is used to feed the solids.

Gas Density and Pressure Loss

As the carrier gas moves through the system and losses or gains pressure (depending on whether the system is a pressure or vacuum system), it's density will increases or decrease accordingly thereby changing the velocity of the gas.   The gas pressure loss equation is shown in Equation 2 above.  The ideal gas law may be employed to calculate the density of the gas throughout the system.

Setting Up the Calculation

The method presented here can easily be set up in a spreadsheet to show the performance of your system.  It is recommend the divide the entire system into 5 to 10 ft sections for such a calculation.  The exit conditions of from section become the inlet conditions for the next and so on.  Also, be sure to account for any gas losses that are known and for any extra gas inlet points in the system.  For pressure systems, start from the end of the conveying line and return to the solids inlet point.  For vacuum systems, start from the solids inlet point and end at the blower inlet.

 

***Special Note:  This article was requested by a visitor to this site.  Do you have a request?  Email me below.

References:

Zenz and Othmer, "Fluidized and Fluid Particle Systems", Chapters 10 and 11, published by Reinhold Publishing Corp, 1960

Agarwal, A.T., "Theory and Design of Dilute Phase Pneumatic Conveying Systems", Powder Handling & Processing, Vol. 17, No. 1, January/February 2005

Kimbel, Kirk W., "Troublefree Pneumatic Conveying", Chemical Engineering Magazine, April 1998, page 78

 

 


smalllogo.gif (4001 bytes)
JOIN OUR COMMUNITY

  • Stay up to date on new content
  • Post questions and answers in our forums
  • Access downloads and attachments
  • Read member blogs and start your own blog
  • Connect with members via our friends feature
  • Receive and post status updates